Что, если всё, что вы знали о расширении Вселенной, – это недоразумение масштаба? В своей работе Лукас Ломбрайзер пишет.
Новое противоречивое исследование делает амбициозную заявку на разгадку тайны темной энергии и темной материи, которые, по мнению ученых, составляют около 95% всей энергии и материи во Вселенной. В статье, опубликованной в журнале Classical and Quantum Gravity профессором теоретической физики Женевского университета Лукасом Ломбризером, он считает, что расширение Вселенной на самом деле – иллюзия. Скачать файл в pdf.
Статичная Вселенная
Космологи часто пытаются решить проблему расхождений между различными значениями Λ, предлагая новые гипотетические частицы или теоретические физические силы. Но Ломбризер решает ее путем переосмысления того, что уже существует в науке.
«В этой работе мы надеваем новые очки, чтобы посмотреть на космос и его неразрешимые загадки, выполняя математическое преобразование физических законов, которые им управляют», – пояснил Ломбризер.
В математической интерпретации Ломбризера Вселенная не расширяется, а является плоской и статичной, как когда-то считал Эйнштейн. Эффекты, которые мы наблюдаем и которые свидетельствуют о расширении, в этой модели объясняются эволюцией массы протонов и электронов с течением времени. Согласно этой картинке, эти элементарные частицы возникают из поля, которое пронизывает пространство-время. Космологическая постоянная определяется массой поля, и поскольку это поле колеблется, массы частиц, которые оно порождает, также колеблются. Космологическая постоянная все еще меняется со временем, но в этой модели это изменение связано с изменением массы частиц со временем, а не с расширением Вселенной.
В этой модели флуктуации поля приводят к большему красному смещению для удаленных галактик, чем предсказывают традиционные космологические модели. Таким образом, космологическая постоянная соответствует предсказаниям этой модели.
В чём суть?
Ломбрайзер не предлагает менять физику. Он предлагает сменить точку зрения. Как если бы Коперник сказал: «Нет, Земля не центр – Солнце центр», только теперь вместо центра – метрика, то есть геометрическое описание пространства.
Вместо того чтобы представлять Вселенную как резиновый шар, который надувается, он предлагает смотреть на неё как на статичное плоское пространство Минковского – ту самую "плоскость", на которой живёт вся специальная теория относительности и квантовая теория поля.
В этом фрейме:
Космология не описывается расширяющейся метрикой.
Вся динамика Вселенной переносится в изменение масштабных параметров – массы, длины, времени.
Красное смещение – не результат растяжения фотона, а результат изменения массы частиц, которые испускают и поглощают свет.
А что остаётся от расширения?
Формулы – те же. Интерпретация – иная.
Остаётся неизменной, но теперь a(t) – не масштаб пространства, а масштаб массы. С течением времени массы растут, а не пространство.
Астрономия в другой перспективе
Как это работает? Пример:
-
Атом водорода испустил фотон миллиард лет назад.
-
Тогдашняя масса электрона была меньше.
-
Энергия перехода была меньше.
-
Мы сегодня, с большей массой частиц, измеряем эту энергию как «смещённую в красную область».
-
Мы говорим: «фотон покраснел».
-
А Ломбрайзер говорит: «нет, просто линейка и часы изменились».
Рецепт темной Вселенной
Новая концепция Ломбризера также решает некоторые другие насущные проблемы космологии, в частности, природу темной материи. Этот неуловимый материал превосходит обычную барионную материю в соотношении 5:1, но остается загадочным, поскольку не взаимодействует со светом. Ломбризер предположил, что флуктуации поля могут также вести себя как так называемое аксионное поле, где аксионы – это гипотетические частицы, которые являются одними из предложенных кандидатов на темную материю.
Эти флуктуации также могли бы покончить с теорией темной энергии – гипотетической силы, растягивающей ткань пространства и таким образом расталкивающей галактики все быстрее и быстрее. В этой модели влияние темной энергии, по словам Ломбризера, объясняется массой частиц, которые пошли другим эволюционным путем в более поздние времена во Вселенной.
«В этой картине темная энергия, в принципе, не нужна», – добавил Ломбризер.
В чём сила?
Зачем эта фокусировка?
Потому что многие космологические проблемы становятся незаметны или даже решаются в этой новой рамке.
Космологическая постоянная (которая в стандартной теории слишком велика) – здесь получается естественной, если считать массу как переменную.
Проблема H₀ – та самая разница между «космическим» и «локальным» измерением скорости расширения – объясняется тем, что мы можем находиться в локальной конформной "пустоте", где физические величины чуть отличаются.
Темная материя и энергия – теперь могут быть геометрическими иллюзиями изменения масштаба, а не отдельными сущностями.
Что говорит математика?
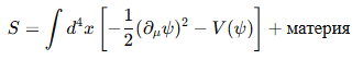
Вся классическая гравитация Эйнштейна описывается действием:
Ломбрайзер берёт это действие и применяет конформное преобразование метрики, приводя его к виду:

где ψ=a(t) – это бывший масштабный фактор, а теперь скалярное поле в плоском пространстве Минковского. И это поле определяет "масштаб Вселенной" как эволюцию масштабов – а не пространства.
И что, всё? Пространство больше не расширяется?
Физика остаётся прежней. Все наблюдаемые явления предсказываются так же. Но появляется новый способ мышления. Он не обязательно более "правильный", но он:
устраняет некоторые парадоксы;
даёт новое толкование;
создаёт почву для новых идей (например, геометрическое происхождение тёмной материи).
А что с наблюдениями?
Если вы – галактика в куске Вселенной, где метрика чуть-чуть иная (например, плотность ниже), то:
вы увидите другие значения H₀,
ваше наблюдение СMB покажет другую амплитуду линзирования,
ваше измерение σ₈ даст другой результат.
И всё это – без изменения законов физики, просто из-за выбора "не той линейки".
Вывод
Ломбрайзер предлагает революционную идею: Вселенная статична. А всё "расширение" – это игра масштабов. Он не отменяет физику – он меняет её декорации.
Подробности этой работы опубликованы в журнале Classical and Quantum Gravity.
Скачать файл в pdf.
